Gate ME-2016-3 Question Paper With Solutions

Gate ME-2016-3 Question Paper With Solutions Answer: (C)

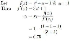
Explanation:

Gate ME-2016-3 Question Paper With Solutions

Learn More:   Gate CS-2018 Question Paper With Solutions

LEAVE A REPLY

Please enter your comment!
Please enter your name here