Gate ME 2015-3 Question Paper With Solutions

Q. 15  Gate ME 2015-3 Question Paper With Solutions

Gate ME 2015-3 Question Paper With Solutions

Answer: (C)

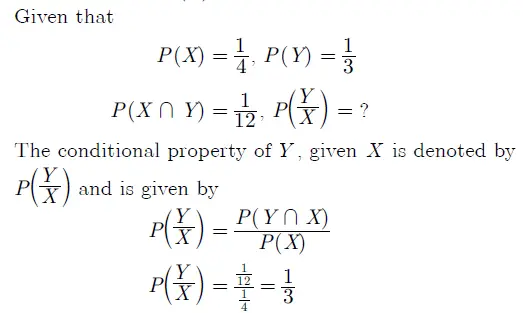
Explanation:

Gate ME 2015-3 Question Paper With Solutions

Learn More:   Gate EE-2018 Question Paper With Solutions

LEAVE A REPLY

Please enter your comment!
Please enter your name here