Gate ME 2014-1 Question Paper With Solutions

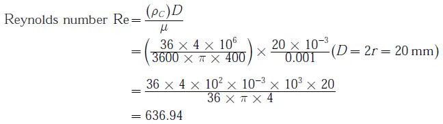
Q. 53 Water flows through a pipe having an inner radius of 10 mm at the rate of
Gate ME 2014-1 Question Paper With Solutions  The Reynolds number of the flow is _____

Answer: (636.64)

Explanation:

Gate ME 2014-1 Question Paper With Solutions

Gate ME 2014-1 Question Paper With Solutions

Learn More:   Gate EE-2007 Question Paper With Solutions

LEAVE A REPLY

Please enter your comment!
Please enter your name here