Gate ME 2014-1 Question Paper With Solutions

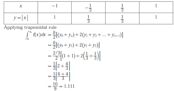
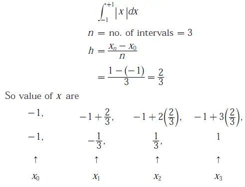
Q. 39 Using the trapezoidal rule, and dividing the interval of integration into three
equal subintervals, the definite integral Gate ME 2014-1 Question Paper With Solutions

Answer: (1.111 )

Explanation:

Gate ME 2014-1 Question Paper With Solutions

Gate ME 2014-1 Question Paper With Solutions

Learn More:   Gate ME-2013 Question Paper With Solutions

LEAVE A REPLY

Please enter your comment!
Please enter your name here