Gate EE-2015-2 Question Paper With Solutions

Q. 6Gate EE-2015-2 Question Paper With Solutions

Answer: (B)

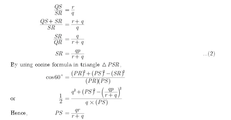
Explanation:

 

Gate EE-2015-2 Question Paper With Solutions Gate EE-2015-2 Question Paper With Solutions

 

 

Learn More:   Gate EE-2010 Question Paper With Solutions

LEAVE A REPLY

Please enter your comment!
Please enter your name here