Gate EE-2015-1 Question Paper With Solutions
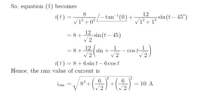
Q.65.The circuit shown in the figure has two sources connected in series. The instantaneous voltage of the AC source (in volt) is given by . If the circuit is in steady-state, then the rms value of the current (in Ampere) flowing in the circuit is_____

Answer:(10)
Explanation:












