Gate EE-2015-1 Question Paper With Solutions
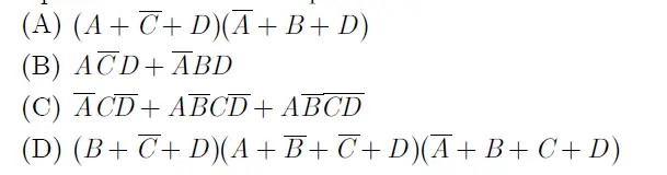
Q. 63.f(A,B,C)=IIM(0,1,3,4,5,7,9,11,12,13,14,15) is a maxterm representation of
a Boolean functionf(A,B,C,D)whereA is the MSB and D is the LSB. The
equivalent minimized representation of this function is

Answer:(C)
Explanation:













