Gate EE-2015-1 Question Paper With Solutions
Q.58. A solution of the ordinary differential equation is such that
The value of
is______
Answer :(-3)
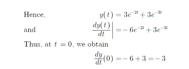
Explanation:

Q.58. A solution of the ordinary differential equation is such that
The value of
is______
