Gate EE-2015-1 Question Paper With Solutions
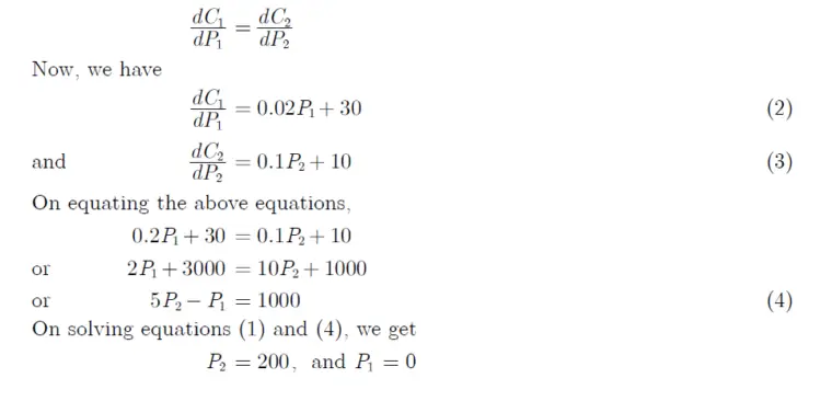
Q.55.Consider the economic dispatch problem for a power plant having two generating units. The fuel costs in Rs/MWh along with the generation limits for the two units are given below:

The incremental cost (in Rs/MWh) of the power plant when it supplies 200 MW
is ______
Answer :(0)
Explanation:












