Gate EE-2015-1 Question Paper With Solutions
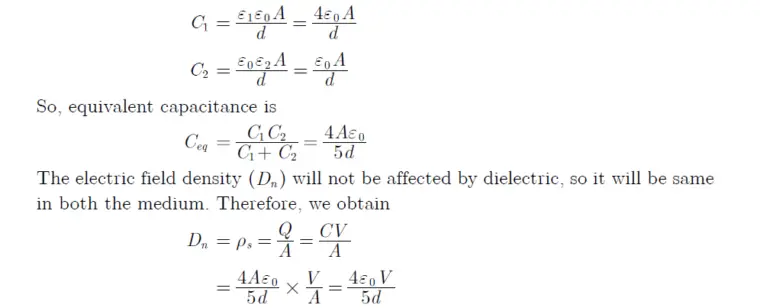
Q.50.A parallel plate capacitor is partially filled with glass of dielectric constant 4.0
as shown below. The dielectric strengths of air and glass are 30 kV/cm and 300
kV/cm, respectively. The maximum voltage (in kilovolts), which can be applied
across the capacitor without any breakdown, is ______















