Gate EE-2015-1 Question Paper With Solutions
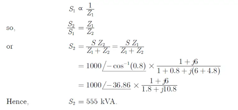
Q. 49. Two single-phase transformers
and each rated at 500 kVA are operated in parallel. Percentage impedances of
ard
, and
respectively. To share a load of 1000 kVA at 0.8 lagging power factor, the contribution of
(in kVA) is______
Answer:(555)
Explanation:













