Gate EE-2015-1 Question Paper With Solutions
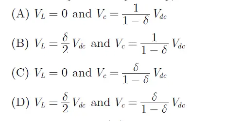
Q.43.A self commutating switch SW , operated at duty cycle δ is used to control the
load voltage as shown in the figure.

Under steady state operating conditions, the average voltage across the inductor and the capacitor respectively, are

Answer:(A)
Explanation:













