Gate EE-2015-1 Question Paper With Solutions
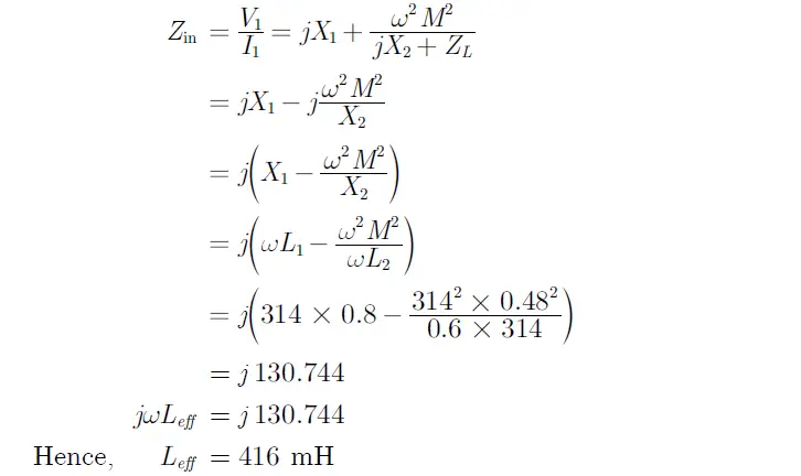
Q.29.The self inductance of the primary winding of a single phase, 50 Hz, transformer is 800 mH, and that of the secondary winding is 600 mH. The mutual inductance between these tow windings is 480 mH. The secondary winding of this transformer is short circuited and the primary winding is connected to a 50 Hz, single phase, sinusoidal voltage source. The current flowing in both the winding is less than their respective rated currents. The resistance of both windings can be neglected.
In this connection, what is the effective inductance (in mH) seen by the source?
(A)416
(B) 440
(C)200
(D) 920
Answer:(A)
Explanation:












