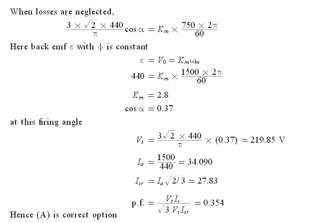
Gate Solved Gate EE-2007 Question Paper With Solutions Facebook WhatsApp Twitter Pinterest Email Q. 43 Answer: (A) Explanation: Learn More: Gate EE-2013 Question Paper With Solutions
in ques 32, where are you getting 30 degrees and 20 degrees from? they are not given in diagram. Reply
in ques 32, where are you getting 30 degrees and 20 degrees from? they are not given in diagram.