Gate EE-2007 Question Paper With Solutions

Q. 31

Gate EE-2007 Question Paper With Solutions

Gate EE-2007 Question Paper With Solutions

Answer: (B)

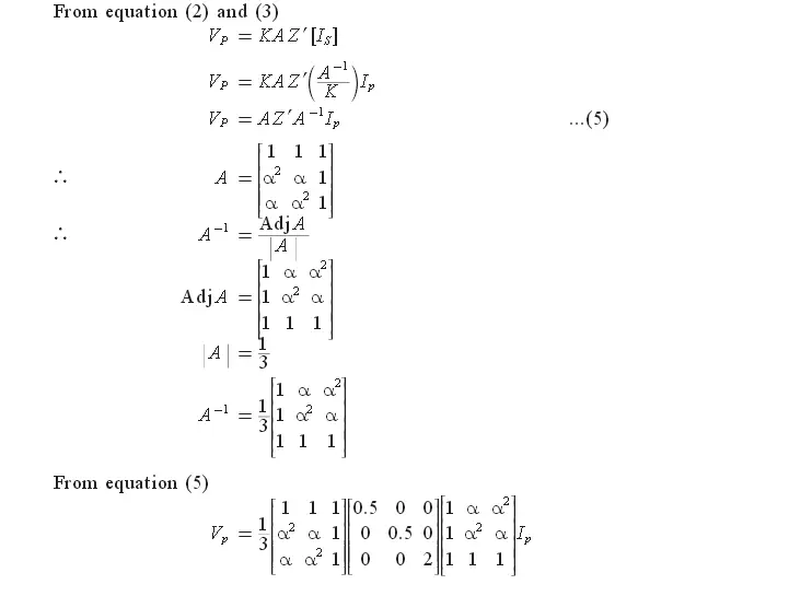
Explanation:

Gate EE-2007 Question Paper With Solutions

Gate EE-2007 Question Paper With Solutions

Gate EE-2007 Question Paper With Solutions

Learn More:   Gate EC-2016 - 1 Question Paper With Solutions

1 COMMENT

LEAVE A REPLY

Please enter your comment!
Please enter your name here