Gate EC-2014 – 1 Question Paper With Solutions

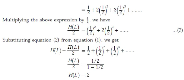
Q. 52 A fair coin is tossed repeatedly until a ‘Head’ appears for the first time. Let L be the number of tosses to get this first ‘Head’. The entropy H (L) in bits is_____.

Answer: 2

Explanation:

Gate EC-2014 - 1 Question Paper With Solutions

Gate EC-2014 - 1 Question Paper With Solutions

Learn More:   Gate ME-2019-2 Question Paper With Solutions

LEAVE A REPLY

Please enter your comment!
Please enter your name here