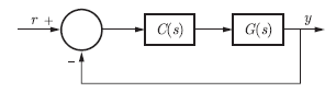
Q. 48 For the following feedback system The 2% settling time of the step response is required to be less than 2 seconds.

Answer: C
Explanation:
Not Required
Q. 48 For the following feedback system The 2% settling time of the step response is required to be less than 2 seconds.

Answer: C
Explanation:
Not Required