Gate ME-2019-1 Question Paper With Solutions

Q. 21Gate ME-2019-1 Question Paper With Solutions

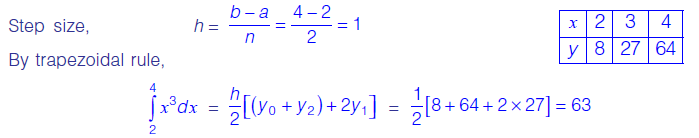
Answer: (63)

Explanation:

Gate ME-2019-1 Question Paper With Solutions

Learn More:   Gate ME-2006 Question Paper With Solutions

LEAVE A REPLY

Please enter your comment!
Please enter your name here