Gate ME-2019-1 Question Paper With Solutions

Q.14Gate ME-2019-1 Question Paper With Solutions

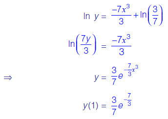
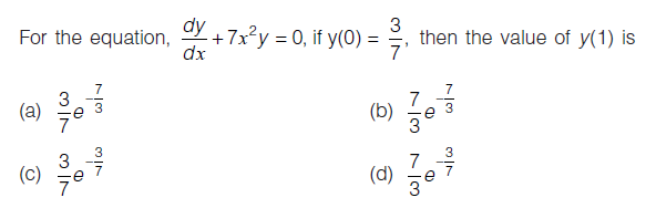
Answer: (A)

Explanation:

Gate ME-2019-1 Question Paper With Solutions Gate ME-2019-1 Question Paper With Solutions

Learn More:   Gate EC-2014 - 2 Question Paper With Solutions

LEAVE A REPLY

Please enter your comment!
Please enter your name here