Gate ME-2018-2 Question Paper With Solutions

Q. 35Gate ME-2018-2 Question Paper With Solutions

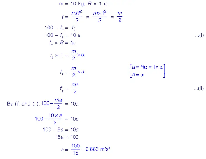
Answer: (6.666)

Explanation:

Gate ME-2018-2 Question Paper With Solutions Gate ME-2018-2 Question Paper With Solutions

Learn More:   Gate ME-2013 Question Paper With Solutions

LEAVE A REPLY

Please enter your comment!
Please enter your name here