Gate ME-2018-2 Question Paper With Solutions

Q. 31Gate ME-2018-2 Question Paper With Solutions Gate ME-2018-2 Question Paper With Solutions
Answer: (C)

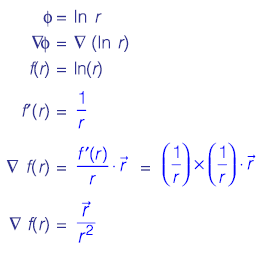
Explanation:

Gate ME-2018-2 Question Paper With Solutions

Learn More:   Gate CS-2012 Question Paper With Solutions

LEAVE A REPLY

Please enter your comment!
Please enter your name here