Gate ME-2016-1 Question Paper With Solutions

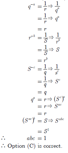
Gate ME-2016-1 Question Paper With Solutions Gate ME-2016-1 Question Paper With Solutions Answer: (C)

Explanation:

Gate ME-2016-1 Question Paper With Solutions

Learn More:   Gate CS-2001 Question Paper With Solutions

LEAVE A REPLY

Please enter your comment!
Please enter your name here