Gate ME-2016-1 Question Paper With Solutions

Gate ME-2016-1 Question Paper With Solutions

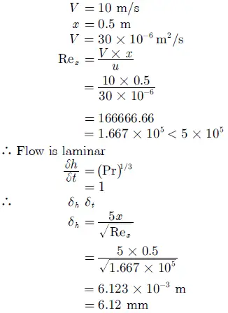
Answer: (6.12 mm)

Explanation:

Gate ME-2016-1 Question Paper With Solutions

Learn More:   Gate EE-2012 Question Paper With Solutions

LEAVE A REPLY

Please enter your comment!
Please enter your name here