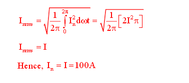
Q.59 The line currents of a three-phase four wire system are square waves with amplitude of 100A.These three currents are phase shifted by 120° with respect to each other. The rms value of neutral current is
(A) 100A
(B) 0A
(C) 300A
(D)
Answer:(A)
Explanation:















