Gate EC-2017-1 Question Paper With Solutions

Q. 48Gate EC-2017-1 Question Paper With Solutions  Answer: (2.093)

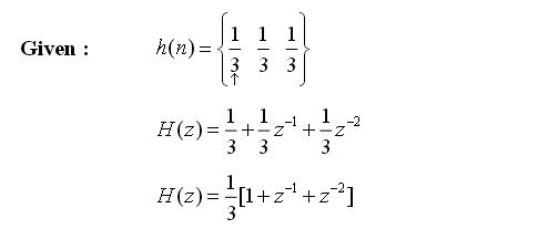
Explanation:

Gate EC-2017-1 Question Paper With Solutions

Gate EC-2017-1 Question Paper With Solutions

Learn More:   Gate ME-2009 Question Paper With Solutions

LEAVE A REPLY

Please enter your comment!
Please enter your name here