Gate EC-2017-1 Question Paper With Solutions

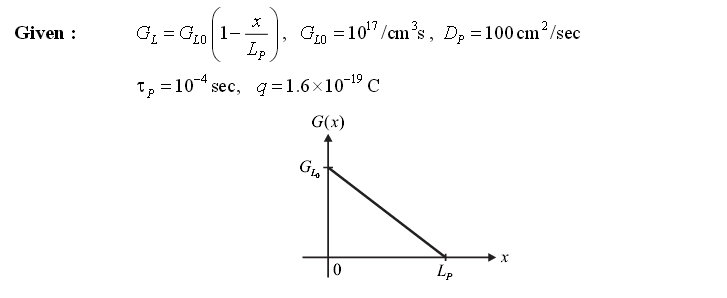
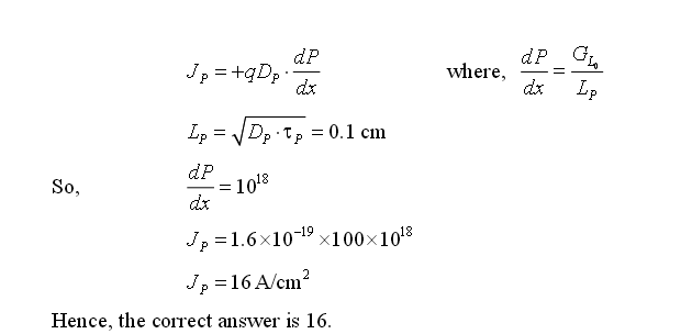
Q. 39Gate EC-2017-1 Question Paper With Solutions Answer: (16)

Explanation:

Gate EC-2017-1 Question Paper With Solutions

Gate EC-2017-1 Question Paper With Solutions

Learn More:   Gate EC-2016 - 2 Question Paper With Solutions

LEAVE A REPLY

Please enter your comment!
Please enter your name here