Gate EC-2011 Question Paper With Solutions

Q. 48 Gate EC-2011 Question Paper With Solutions

The channel resistance when Gate EC-2011 Question Paper With Solutionsis
Gate EC-2011 Question Paper With Solutions

Answer: B

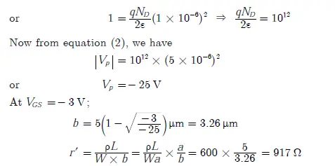
Explanation:
Gate EC-2011 Question Paper With SolutionsGate EC-2011 Question Paper With SolutionsGate EC-2011 Question Paper With Solutions

Learn More:   Gate ME-2016-2 Question Paper With Solutions

LEAVE A REPLY

Please enter your comment!
Please enter your name here