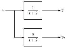
Q. 39 The block diagram of a system with one input it and two outputs and
is given below.
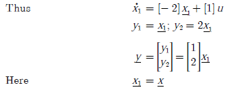
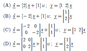
A state space model of the above system in terms of the state vector x and the output vector
Answer: B
Explanation:

Q. 39 The block diagram of a system with one input it and two outputs and
is given below.
A state space model of the above system in terms of the state vector x and the output vector
Answer: B
Explanation:
