Q. 33 For a BJT the common base current gain and the collector base junction reverse bias saturation current
. This BJT is connected in the common emitter mode and operated in the active region with a base drive current
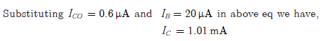
The collector current
for this mode of operation is
(A) 0.98 mA
(B) 0.99 mA
(C) 1.0 mA
(D) 1.01 mA
Answer: D
Explanation:













