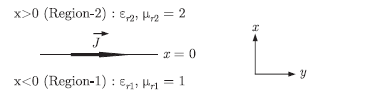
Q. 26 A current sheet lies on the dielectric interface x = 0 between two dielectric media with
in Region -1 (x < 0) and
in Region -2(x > 0). If the magnetic field in Region-1 at
the magnetic field in Region-2 at
is

Answer: A
Explanation:













