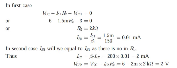
Q. 46 In the amplifier circuit shown in the figure, the values of are such that the transistor is operating at
when its
is 150. For a transistor with
of 200, the operating point
is
(A) (2 V, 2 mA)
(B) (3 V, 2 mA)
(C) (4 V, 2 mA)
(D) (4 V, 1 mA)
Answer: (A)
Explanation:















