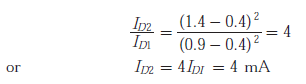
Q. 43 When the gate-to-source voltage (VGs) of a MOSFET with threshold voltage of 400 mV, working in saturation is 900 mV, the drain current is observed to be 1 mA. Neglecting the channel width modulation effect and assuming that the MOSFET is operating at saturation, the drain current for an applied VGS of 1400 mV is
(A) 0.5 mA
(B) 2.0 mA
(C) 3.5 mA
(D) 4.0 mA
Answer: (D)
Explanation:













