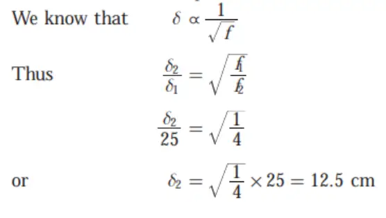
Q. 30 The depth of penetration of electromagnetic wave in a medium having conductivity at a frequency of 1 MHz is 25 cm. The depth of penetration at a frequency of 4 MHz will be
(A) 6.25 dm
(B) 12.50 cm
(C) 50.00 cm
(D) 100.00 cm
Answer: (B)
Explanation:












