Gate CS-2017-2 Question Paper With Solutions

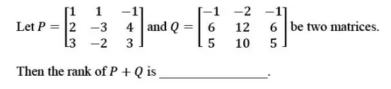
Q. 14

Gate CS-2017-2 Question Paper With Solutions

Note: This question appeared as Numerical Answer Question in GATE.

(A) 1

(B) 2

(C) 3

(D) 4

Answer: (B)

Explanation:

Gate CS-2017-2 Question Paper With Solutions

Learn More:   Gate ME-2016-3 Question Paper With Solutions

LEAVE A REPLY

Please enter your comment!
Please enter your name here