Gate CS-2017-1 Question Paper With Solutions

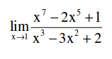
Q. 48 The value of the given expression

Gate CS-2017-1 Question Paper With Solutions

(A) 0

(B) -1

(C) 1

(D) Does not exist

Answer: (C)

Explanation:

Gate CS-2017-1 Question Paper With Solutions

Learn More:   Gate ME-2006 Question Paper With Solutions

LEAVE A REPLY

Please enter your comment!
Please enter your name here