Gate CS-2016-2 Question Paper With Solutions

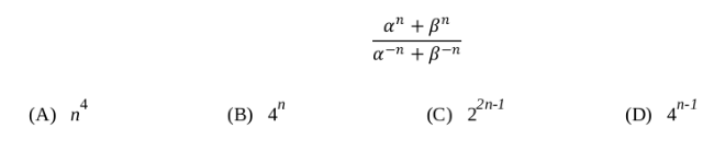
Q. 5 In a quadratic function, the value of the product of the roots (α, β) is 4. Find the value of

Gate CS-2016-2 Question Paper With Solutions

Answer: (B)

Explanation:

Gate CS-2016-2 Question Paper With Solutions

Learn More:   Gate EE-2019 Question Paper With Solutions

LEAVE A REPLY

Please enter your comment!
Please enter your name here