Gate CS-2016-2 Question Paper With Solutions

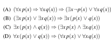
Q. 37 Which one of the following well-formed formulae in predicate calculus is NOT valid?

Gate CS-2016-2 Question Paper With Solutions

Answer: (D)

Explanation:

Gate CS-2016-2 Question Paper With Solutions

Learn More:   Gate ME 2014-4 Question Paper With Solutions

LEAVE A REPLY

Please enter your comment!
Please enter your name here