Gate CS-2015-1 Question Paper With Solutions

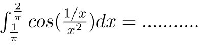
Q. 54

Gate CS-2015-1 Question Paper With Solutions

(A) 0

(B) -1

(C) 1

(D) infinite

Answer: (B)

Explanation:

Gate CS-2015-1 Question Paper With Solutions Gate CS-2015-1 Question Paper With Solutions Gate CS-2015-1 Question Paper With Solutions

Learn More:   Gate ME-2016-3 Question Paper With Solutions

LEAVE A REPLY

Please enter your comment!
Please enter your name here