Gate CS-2015-1 Question Paper With Solutions

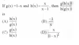
Q. 15

Gate CS-2015-1 Question Paper With Solutions

(A) a

(B) b

(C) c

(D) d

Answer: (A)

Explanation:

Gate CS-2015-1 Question Paper With Solutions

Learn More:   Gate CS-2004 Question Paper With Solutions

LEAVE A REPLY

Please enter your comment!
Please enter your name here