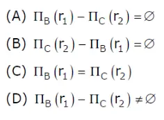
Q. 43 Suppose R1^A,Bh and R2 ^C,Dh are two relation schemas. Let r1 and r2 be the
corresponding relation instances. B is a foreign key that refers to C in R2. If
data in r1 and r2 satisfy referential integrity constraints, which of the following is
ALWAYS TRUE?
Answer: (A)
Explanation:













