Gate CS-2010 Question Paper With Solutions

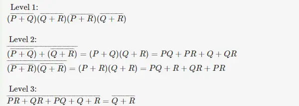
Q. 26 What is the boolean expression for the output f of the combinational logic circuit
of NOR gates given below ?

Gate CS-2010 Question Paper With Solutions

Gate CS-2010 Question Paper With Solutions

Answer: (A)

Explanation:

Gate CS-2010 Question Paper With Solutions

Learn More:   Gate ME-2008 Question Paper With Solutions

LEAVE A REPLY

Please enter your comment!
Please enter your name here