Gate ME-2017-2 Question Paper With Solutions

Q. 5Gate ME-2017-2 Question Paper With Solutions

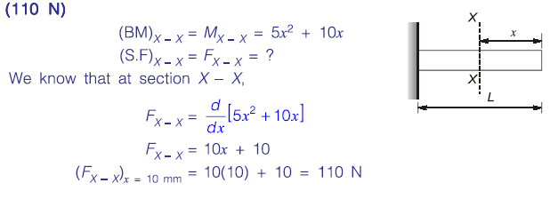
Answer: (110 N)

Explanation:

Gate ME-2017-2 Question Paper With Solutions

Learn More:   Gate ME-2018-2 Question Paper With Solutions

LEAVE A REPLY

Please enter your comment!
Please enter your name here