Gate ME-2007 Question Paper With Solutions

Q.21. Gate ME-2007 Question Paper With Solutions
(A) 4 or 1

(B) 4 only

(C) 1 only

(D) undefined

Answer: (B)

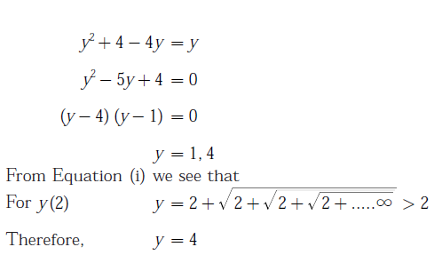
Explanation:

Gate ME-2007 Question Paper With Solutions

Gate ME-2007 Question Paper With Solutions

Learn More:   Gate CS-2015-3 Question Paper With Solutions

LEAVE A REPLY

Please enter your comment!
Please enter your name here