Q. 41 The response h(t) of a linear time invariant system to an impulse under
initially relaxed condition is The response of this system for a
unit step input u(t) is
Answer:(C)
Explanation:

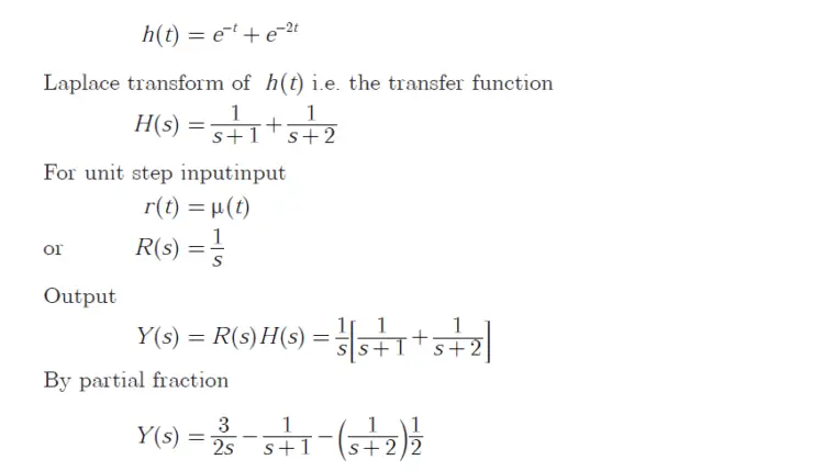
Q. 41 The response h(t) of a linear time invariant system to an impulse under
initially relaxed condition is The response of this system for a
unit step input u(t) is
Answer:(C)
Explanation:
