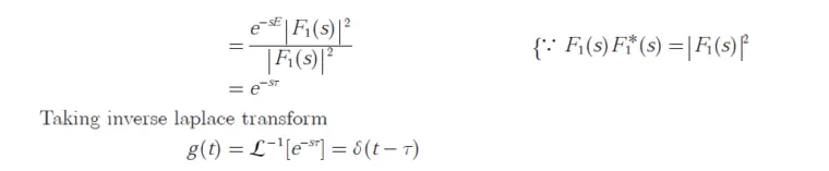
Q. 29 Let the Laplace transform of a function f (t) which exists for t > 0 be
and the Laplace transform of its delayed version f (t – t) be F2(s). Let F1 * (s)
be the complex conjugate of with the Laplace variable set
If
Answer:(D)
Explanation:













