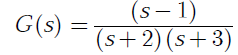
Q. 21 An open loop system represented by the transfer function

(A) Stable and of the minimum phase type
(B) Stable and of the non–minimum phase type
(C) Unstable and of the minimum phase type
(D) Unstable and of non–minimum phase type
Answer:(B)
Explanation:













