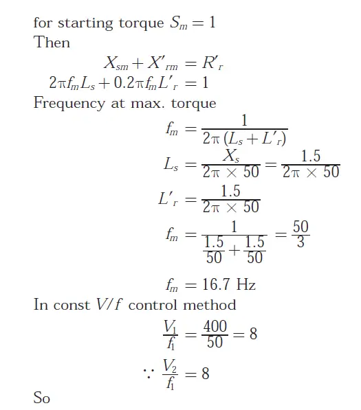
Q. 60 A 400 V, 50 Hz, 4-pole, 1400 rpm, star connected squirrel cage induction motor has the following parameters referred to the stator:
Neglect stator resistance and core and rotational losses of the motor. The motor is controlled from a 3-phase voltage source inverter with constant V/fcontrol.The stator line-to-line voltage(rms) and frequency to obtain the maximum torque at starting will be
(A) 20.6 V, 2.7 Hz
(B) 133.3 V, 16.7 Hz
(C) 266.6 V, 33.3 Hz
(D) 323.3 V, 40.3 Hz
Answer:(B)
Explanation:














