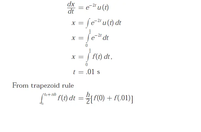
Q. 37 A differential equation, has to be solved using trapezoidal rule of integration with a step size
. Function u(t) indicates a unit step function. If,
then value of x at will be given by
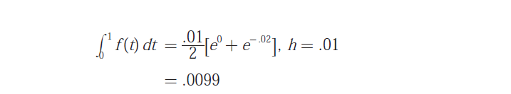
(A) 0.00099
(B) 0.00495
(C) 0.0099
(D) 0.0198
Answer:(C)
Explanation:













