Gate CS-2007 Question Paper With Solutions

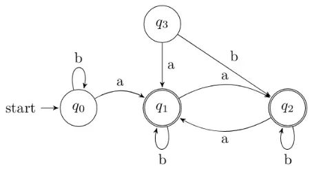
Q. 85 Consider the following Finite State Automation

Gate CS-2007 Question Paper With Solutions

 

The minimum state automaton equivalent to the above FSA has the following

number of states

(A) 1

(B) 2

(C) 3

(D) 4

Answer: (B)

Explanation:

Gate CS-2007 Question Paper With Solutions

 

 

 

Learn More:   Gate ME-2019-1 Question Paper With Solutions

LEAVE A REPLY

Please enter your comment!
Please enter your name here