Gate EC-2010 Question Paper With Solutions

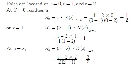
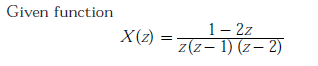
Q. 29 The residues of a complex function Gate EC-2010 Question Paper With Solutionsat its poles are
Gate EC-2010 Question Paper With Solutions

Answer: C

Explanation:

Gate EC-2010 Question Paper With Solutions Gate EC-2010 Question Paper With Solutions

Learn More:   Gate CS-2015-2 Question Paper With Solutions

LEAVE A REPLY

Please enter your comment!
Please enter your name here